• Предмет: Математика
  • Автор: raceki9344
  • Вопрос задан 8 лет назад

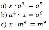
Выразить x в виде степени

Приложения:

Ответы

Ответ дал: beregnayolgagorlovka
0

Ответ:

а) а2 × а3 = а5

б) а4 × а2 = а6

в) 1 × m9 = m9

Пошаговое объяснение:

а) При умножении степени прибавляются.

Вас заинтересует