• Предмет: Математика
  • Автор: Neira315
  • Вопрос задан 8 лет назад

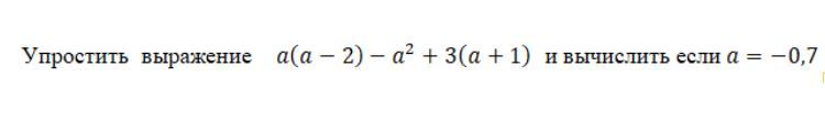
Помогите решить пожалуйста

Приложения:

Ответы

Ответ дал: n1982
0

Ответ:

а²-2а-а²+3а+3=а+3

-0,7+3=2,3

Пошаговое объяснение:

Ответ дал: cooolery
0

Ответ:

3.28

Пошаговое объяснение:

a(a-2)-a²+3(a+1)= -0.7(-0.7-2)+0.7²+3(-0.7+1)= -0.7×(-2.7)+0.49+3×0.3=1.89+0.49+0.9=2.38+0.9=3.28

Вас заинтересует