• Предмет: Математика
  • Автор: petrov4ik81
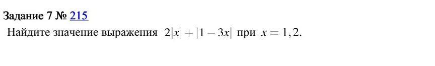
  • Вопрос задан 8 лет назад

с объяснением пж, даю 10 баллов​

Приложения:

Ответы

Ответ дал: zavokzalnaja
0

Ответ:

2 x 1,2 + l 2-3 x 1,2 = 4

Пошаговое объяснение:

Подставляешь вместо х 1,2 и решаешь

Вас заинтересует