• Предмет: Математика
  • Автор: juliarosenberg0
  • Вопрос задан 8 лет назад

Найдите предел функции двух переменных

Приложения:

Ответы

Ответ дал: mmb1
0

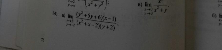
lim(x->2, y->-2) (y^2 + 5y + 6)(x- 1)/(x^2 + x - 2)(y + 2) = ******

разложим многочлены

ну от x ничего не зависит , наверное x -> 1

y^2 + 5y + 6 = (y + 2)(y + 3)

D = 5^2 - 24 = 1

y12=(-5+-1)/2 = -2  -3

x^2 + x - 2 = (x + 2)(x - 1)

D = 1 + 8 = 9

x12 = (-1 +- 3)/2 = -2   1

===================

***** = lim(x->2, y->-2) (y + 2)(y + 3)(x - 1)/(y + 2)(x + 2)(x - 1) = lim(x->2, y->-2) (y + 3)/(x + 2) = (-2 + 3)/(2 + 2) = -1/4

Ответ дал: Аноним
0
мишутка, ну-ка матерни там программеров, пусть че-нибудь сделают. захожу твоим любимым делом позаниматься, то есть обматерить кого-нибудь, а тут сайт глючит
Ответ дал: Аноним
0
наложил себе в штанишки?
Вас заинтересует