• Предмет: Алгебра
  • Автор: dosez
  • Вопрос задан 8 лет назад

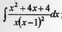
Решите интеграл пожайлуста! Опять!

Приложения:

Ответы

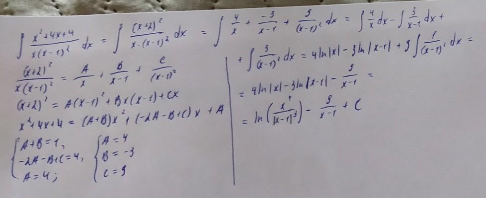
Ответ дал: QDominus
0

Решение приложено...

Приложения:
Вас заинтересует