• Предмет: Математика
  • Автор: kolyadamaksim2017
  • Вопрос задан 8 лет назад

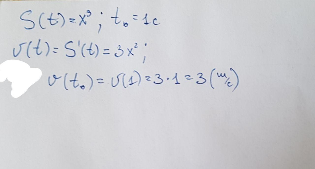
Точка рухається за законом S(T)=x³. знайдіть миттєву швидкість руху точки у момент t=1с

Ответы

Ответ дал: RikliX
0

Ответ: 3 м/с

Пошаговое объяснение:

см. фото

Приложения:
Вас заинтересует