• Предмет: Математика
  • Автор: janbuchancov
  • Вопрос задан 8 лет назад

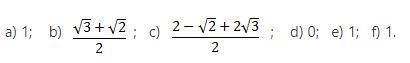
Помогите пожалуйста подобрать правильный ответ к каждому примеру, на 1 скриншоте примеры, на 2 ответы, спасибо!

Приложения:

Ответы

Ответ дал: kalima96
0

Ответ:

Пошаговое объяснение:

a)1 b)(корень3+корень2)/2 c)(2-корень2+2корень3)/2 d)0 e)1 f)1

так они и совпадают...

Вас заинтересует