Ответы
Ответ дал:
0
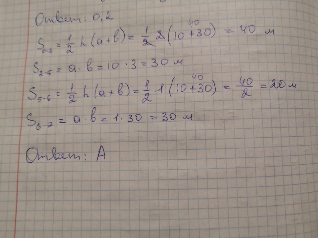
Ответ:
А(40м)
Объяснение:
Приложения:

Вас заинтересует
2 года назад
2 года назад
3 года назад
3 года назад
8 лет назад
8 лет назад
9 лет назад