Срочно !!! Помогите пожалуйста надо сдать через 2 часа!
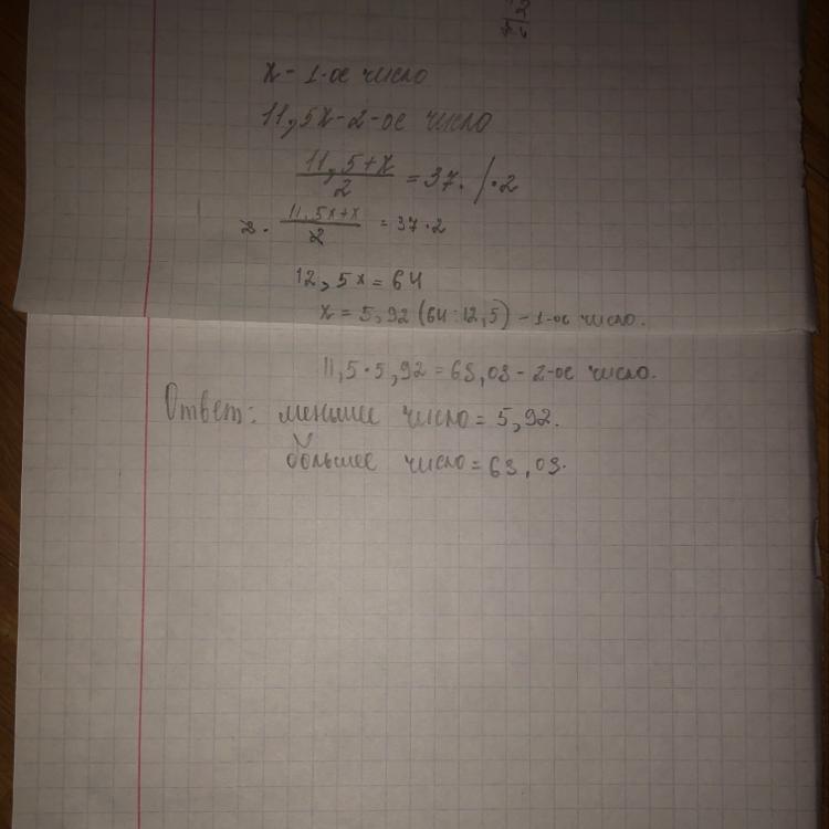
Одно число больше другого в 11,5 раз(-а), среднее арифметическое этих двух чисел равно 37.
Найди эти числа.
Меньшее число равно =
.
Большее число равно =
.
Ответы
Ответ дал:
0
Ответ в приложенном фото
Приложения:

Ответ дал:
0
Ответ:
Меньшее число равно = 5.92
Большее число равно = 68.08
Пошаговое объяснение:
Пусть первое и второе число равны x и y соответственно. Запишем условия через введенные неизвестные и решим полученную систему:
Приложения:

Вас заинтересует
2 года назад
2 года назад
3 года назад
3 года назад
8 лет назад
8 лет назад
9 лет назад