• Предмет: Физика
  • Автор: RomeroDeSantos25
  • Вопрос задан 8 лет назад

укр
Яку максимальну швидкість мають фотоелектрони, якщо фотострум припиняється за напруги запирання 0,8В?
рус
Какую максимальную скорость имеют фотоэлектроны, если фототок прекращается при напряжении запирания 0,8В?
Пожалуйста, помогите по физике задачу решить!!!!!!!!!!!

Ответы

Ответ дал: wallivass
0
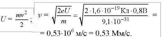
Дано:

U = 0,8 B.

Найти v.

Ответ: v=0,53 Мм/с
Приложения:
Вас заинтересует