• Предмет: Алгебра
  • Автор: polinabovtrel
  • Вопрос задан 8 лет назад

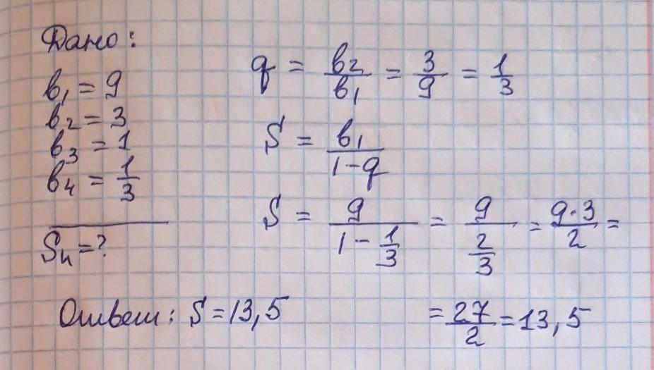
найдите сумму бесконечно убывающей геометрической прогрессии 9; 3; 1; 1/3

Ответы

Ответ дал: sharofat0
0

Ответ:

Сумма беск. уб. геометрической пр.

Приложения:
Вас заинтересует