• Предмет: Математика
  • Автор: Tyler123
  • Вопрос задан 8 лет назад

Помогите решить, пожалуйста!

Приложения:

Ответы

Ответ дал: DeaDKriK
0

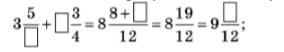
Ответ:

3 frac{5}{6}  + 5 frac{3}{4 }  = 8 frac{10+ 9}{12}  = 8 frac{19}{12}  = 9 frac{7}{12}

Вас заинтересует