• Предмет: Математика
  • Автор: lliza443ttt
  • Вопрос задан 8 лет назад

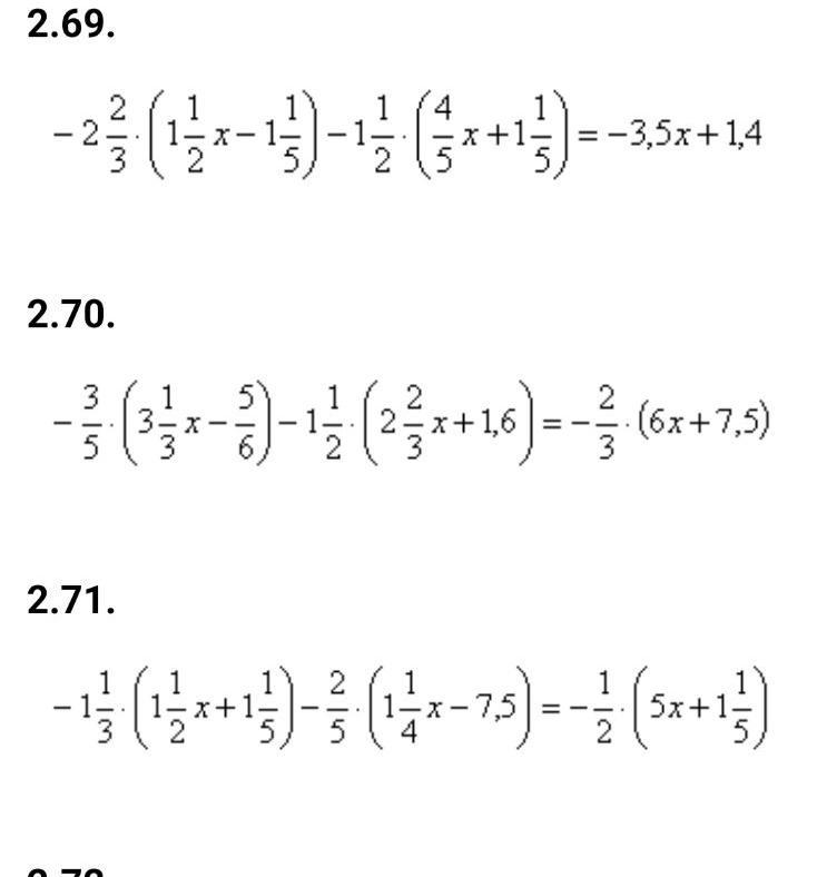
Помогите решить уравнение 1.70

Приложения:

Ответы

Ответ дал: baykeshka
0

Ответ:

не помогу) это и так легко

Вас заинтересует