• Предмет: Алгебра
  • Автор: pylypvasylyna
  • Вопрос задан 8 лет назад

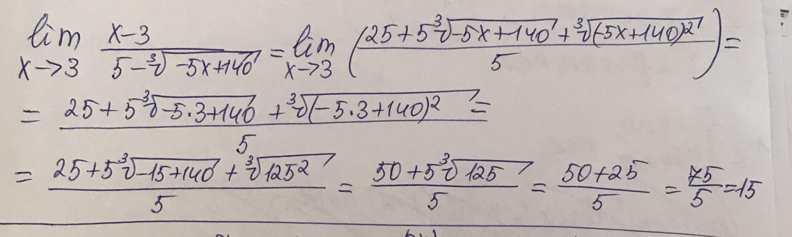
СРОООООЧЧЧНОООООООО! ПОМОГИТЕ!очень важно шаги решения примера!!!!!!!!!!!!!!!!!!!!!!!!!!!!!!!!!!!!!!!!!!!!!!!!!!!!!!!!!!!

Приложения:

Ответы

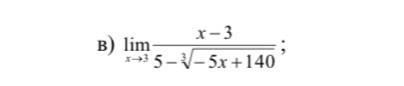
Ответ дал: bikabushhhh
0

ОТВЕТ ВО ВЛОЖЕНИИИИИИ

Приложения:
Вас заинтересует