• Предмет: Алгебра
  • Автор: alisamorylova
  • Вопрос задан 8 лет назад

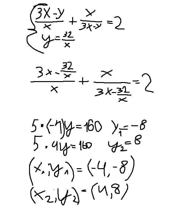
Алгебра 9 класс,решите систему уравнений, спасибо​

Приложения:

Ответы

Ответ дал: aaa444a4a40
0

Ответ:

x1=-4

y1=-8

x2=4

y2=8

Объяснение:

Приложения:
Вас заинтересует