• Предмет: Алгебра
  • Автор: Катерина12345
  • Вопрос задан 11 лет назад

помогите пожалуйста!
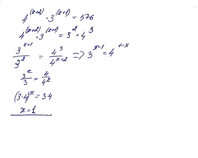
1) 4 ^ (х+2 )* 3 ^ (х+1)= 576
2) 2 ^ (2х+1) * 5 ^ х =16000

Ответы

Ответ дал: Vladislav006
0
Решение смотри ниже в приложении
Приложения:
Вас заинтересует