• Предмет: Алгебра
  • Автор: andrejikukrainian
  • Вопрос задан 8 лет назад

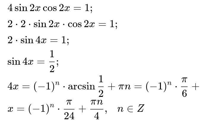
4sin 2 x cos 2x => 1

Ответы

Ответ дал: olya45691
0

Объяснение:

как?????)))))))))))))

Приложения:
Вас заинтересует