• Предмет: Алгебра
  • Автор: pylypvasylyna
  • Вопрос задан 8 лет назад

СРОЧНО ПОМОГИТЕ!!!!!!!!!!!!!!!
Очень важно сами шаги решения

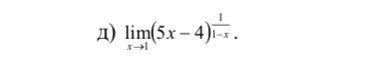
Приложения:

Ответы

Ответ дал: QDominus
0

lim_{x to : 1} (5x - 4)^{ frac{1}{1 - x} }  = lim_{x to : 1} {e}^{ ln((5x - 4) ^{ frac{1}{1 - x} } ) }  =  \  = lim_{x to : 1} {e}^{ frac{ ln(5x - 4) }{1 - x} }  =  {e}^ { - lim_{x to : 1} frac{ ln(5x - 4) }{x - 1} }  =  \  = {e}^ { - lim_{x to : 1} frac{ (ln(5x - 4)) '}{(x - 1)'} } =  {e}^ { - lim_{x to : 1} frac{5}{5x - 4} } =  {e}^{ -  frac{5}{5 - 4} }  =  {e}^{ - 5}

Вас заинтересует