• Предмет: Математика
  • Автор: Mizukage
  • Вопрос задан 8 лет назад

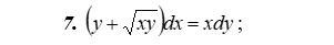
найти общий интеграл дифференциального уравнения, помогите, 2 штуки, пожалуйста!!!

Приложения:

Ответы

Ответ дал: igorShap
0

Ответ:

Пошаговое объяснение:

Приложения:
Вас заинтересует