• Предмет: Алгебра
  • Автор: лекция
  • Вопрос задан 8 лет назад

РЕШИТЕ ПЖ 3-ИЙ РАЗ ОТПРАВЛЯЮ
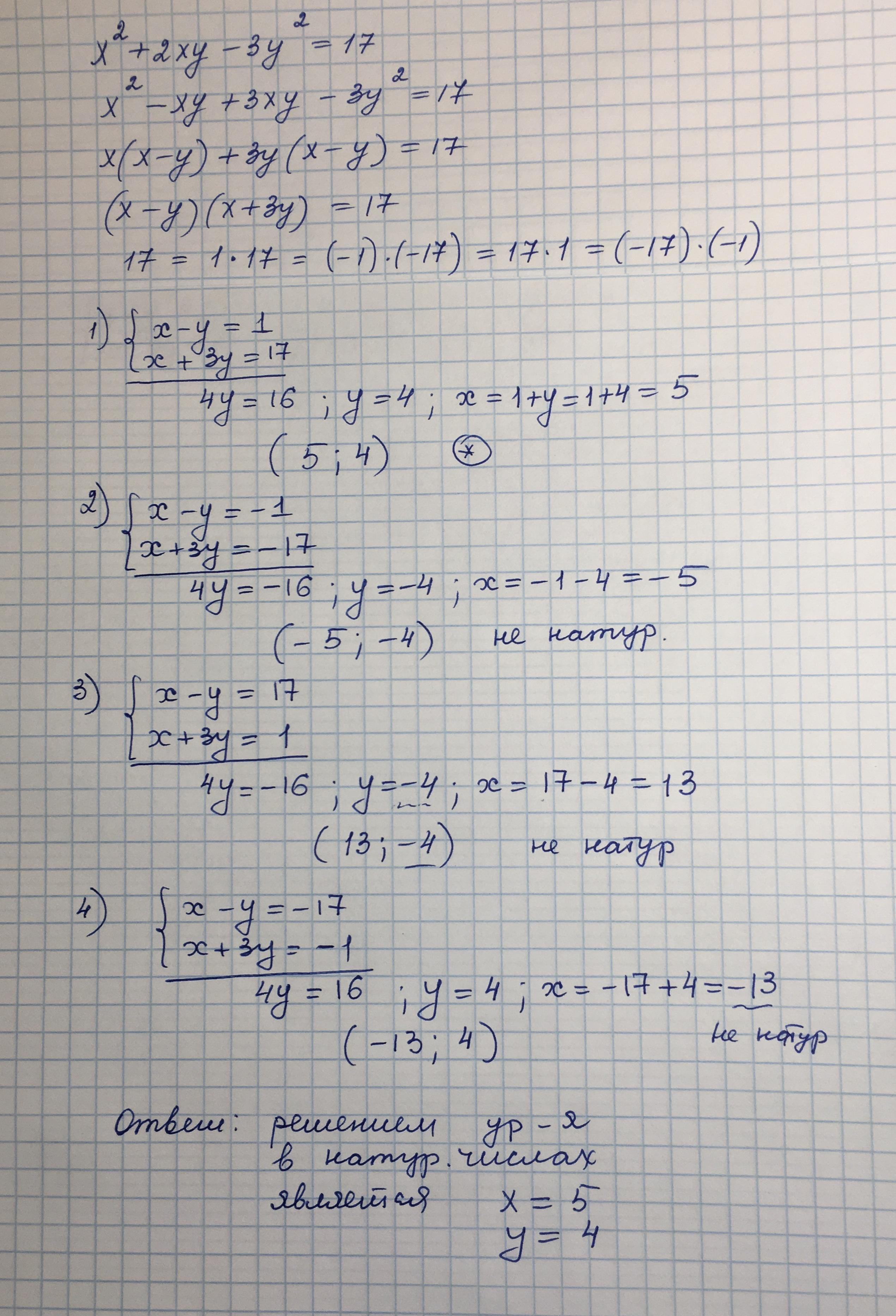
Решите уравнение в натуральных числах:
x^2+2xy-3y^2=17

Ответы

Ответ дал: ВладимирБ
0

Ответ:

Объяснение:

............................

Приложения:
Вас заинтересует