Ответы
Ответ дал:
0
Ответ:
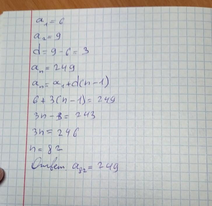
82 член прогрессии
Пошаговое объяснение:
объяснения на фотографии
Приложения:

Ответ дал:
0
Ответ:
d=3
Подставим 249
Приложения:

Вас заинтересует
2 года назад
2 года назад
3 года назад
8 лет назад
8 лет назад
9 лет назад