Найди значение коэффициента a в уравнении ax+8y=20, если известно, что решением этого уравнения является пара чисел: (4;7).
a = ?
Ответы
Ответ дал:
0
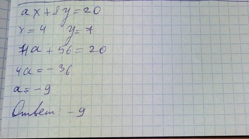
Ответ:
a=-9
Объяснение:
объяснения на фотографии
Приложения:

Ответ дал:
0
Ответ:
Если x=4,y=7
4a+8×7=20
4a+56=20
4a=-36
a=-9
Приложения:

Ответ дал:
0
спасибо
Вас заинтересует
2 года назад
3 года назад
8 лет назад
8 лет назад
9 лет назад
9 лет назад