Помогите, пожалуйста. Даю много баллов!
1) При электролизе солей в трех опытах за одинаковое время получено:
а) 1,08г серебра; б) 0,635г меди; в) 0,327г цинка. В каких опытах была одинакова сила тока? Ответ подтвердите соответствующими расчетами.
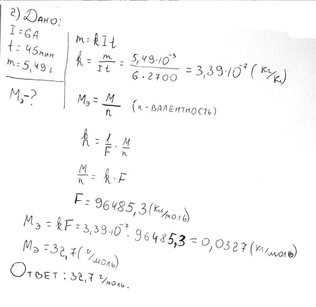
2) Электролиз раствора сульфата некоторого металла проводили при силе тока 6А в течение 45 мин, в результате чего на катоде выделилось 5,49 г металла. Вычислите молярную массу эквивалента металла.
Ответы
Ответ дал:
0
Ответ:
1) в первом и третьем;
2) 32,7 г/моль
Объяснение: см. фото, только там где "m/k равны" лучше про заряд написать
Приложения:


Вас заинтересует
2 года назад
3 года назад
8 лет назад
9 лет назад