Ответы
Ответ дал:
0
Ответ:
6.5
Пошаговое объяснение:
(3z-15.8)×4=14.8
3z-15.8=14.8÷4
3z-15.8=3.7
3z=3.7+15.8
3z=19.5
z=19.5÷3
z=6.5
Ответ дал:
0
Ответ:
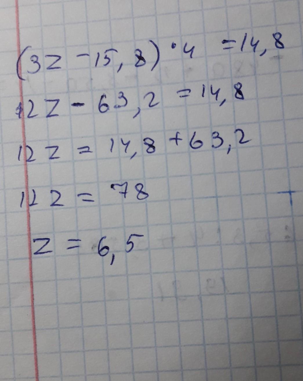
на фотографии
Пошаговое объяснение:
на фотографии
Приложения:

Вас заинтересует
2 года назад
2 года назад
3 года назад
3 года назад
8 лет назад
8 лет назад
9 лет назад