• Предмет: Математика
  • Автор: imsosostupid
  • Вопрос задан 8 лет назад

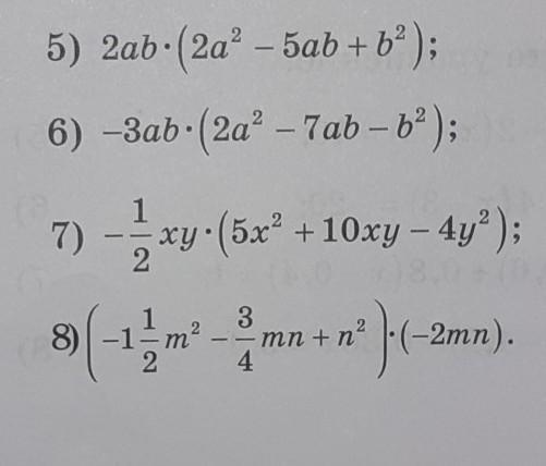
преобразуйте произведение в многочлен​

Приложения:

Ответы

Ответ дал: tatsach
0

Ответ:

Пошаговое объяснение:

5)=4a³b-10a²b²+2ab³

6)=-6a³b+21a²b²+3ab³

7)=-52x³y-5x²y²+2xy³

8)=3m³n+32m²n²-2mn³

Ответ дал: imsosostupid
0
храни вас аллах❣
Вас заинтересует