• Предмет: Математика
  • Автор: kemil00
  • Вопрос задан 8 лет назад

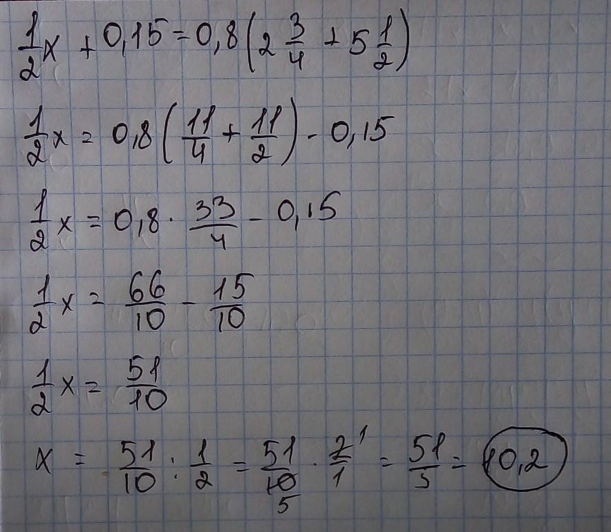
Допоможіть розв'язати рівняння , срочно. Дякую!!!

Приложения:

Ответы

Ответ дал: 0725sasha
0

Ответ:

В приложении

Если мой ответ Вам помог

Отметте его ЛУЧШИМ

Приложения:
Вас заинтересует