Ответы
Ответ дал:
0
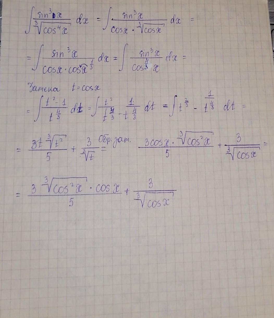
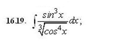
Ответ:
Вот такой будет ответ на ваш вопрос
Пожалуйста, поставьте лучший ответ, спасибо
Приложения:

Вас заинтересует
2 года назад
2 года назад
3 года назад
3 года назад
8 лет назад
8 лет назад