• Предмет: Математика
  • Автор: pdgfop
  • Вопрос задан 8 лет назад

Высшая математика, интеграл

Приложения:

Ответы

Ответ дал: orexot
0

Итог:

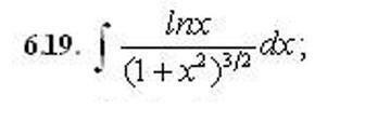
 frac{x ln(x) }{ sqrt{x^{2}  + 1} }  - arcsin(x) + c

Вас заинтересует