Ответы
Ответ дал:
0
Ответ:
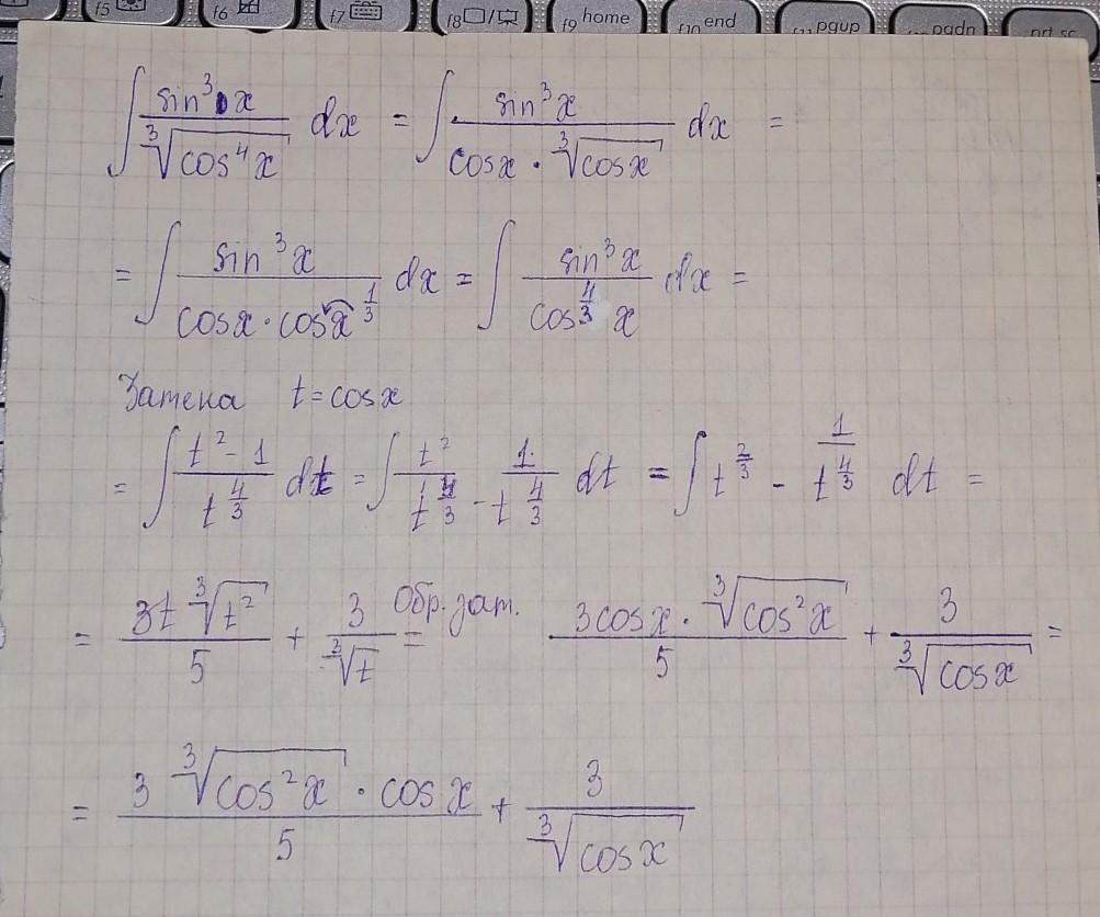
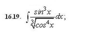
У нас будет вот такое решение)
Приложения:

Вас заинтересует
2 года назад
2 года назад
3 года назад
8 лет назад
9 лет назад
9 лет назад