• Предмет: Алгебра
  • Автор: cherechenka197394
  • Вопрос задан 8 лет назад

знайти додатній знаменник прогресії, якщо другий член 1,2, а п'ятий 32,4

Ответы

Ответ дал: dtnth
0

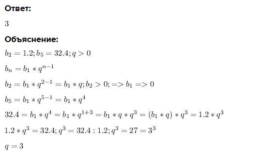
Ответ:

3

Объяснение:

b_2=1.2;b_5=32.4;q>0

b_n=b_1*q^{n-1}

b_2=b_1*q^{2-1}=b_1*q; b_2>0; => b_1=>0

b_5=b_1*q^{5-1}=b_1*q^4

32.4=b_1*q^4=b_1*q^{1+3}=b_1*q*q^3=(b_1*q)*q^3=1.2*q^3

1.2*q^3=32.4; q^3=32.4:1.2; q^3=27=3^3

q=3

Приложения:
Ответ дал: cherechenka197394
0
Большое Вам спасибо
Вас заинтересует