Даю 30 баллов,ребят помогите пожалуйста..
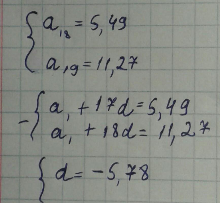
Даны члены арифметической прогрессии a18 = 5,49 и a19 = 11,27.
Вычисли разность прогрессии d=
Ответы
Ответ дал:
0
Ответ:
d = 5,78
Объяснение:
d = a19 - a18 (ищем разницу соседних членов) = 11,27 - 5,49 = 5,78
Ответ дал:
0
Ответ:
d= -5.78
на фото, если не понятно спросите)
Приложения:

Вас заинтересует
2 года назад
3 года назад
3 года назад
8 лет назад
8 лет назад
9 лет назад