• Предмет: Химия
  • Автор: faraon666
  • Вопрос задан 8 лет назад

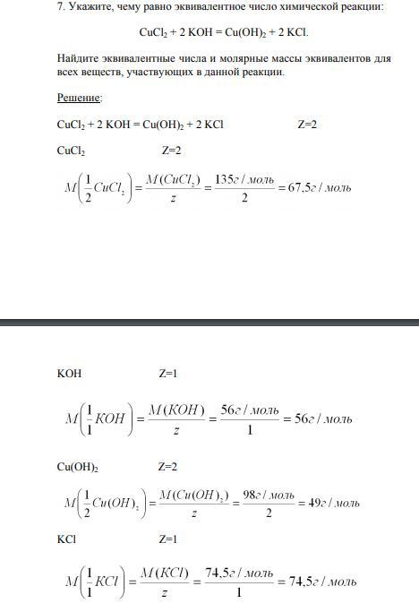
Укажите, чему равно эквивалентное число химической реакции:
Ва(NO3)2 + Na2SO4 = BaSO4 + 2 NaNO3.
Найдите эквивалентные числа и молярные массы эквивалентов для всех
веществ, участвующих в данной реакции. Сделать по примеру в закрепленных

Приложения:

Ответы

Ответ дал: XuMaPb
0

Ответ:

Z=2

Ba(NO3)2

M(1/2Ba(NO3)2) = 261/2=130.5

Na2SO4

Z=2

M(1/2Na2SO4)=142/2=71

BaSO4

Z=2

M(1/2BaSO4)=233/2=116.5

NaNO3

Z=1

M(1NaNO3)=85

Размерность припешите сами как в примере.

Вас заинтересует