• Предмет: Алгебра
  • Автор: annavanina273
  • Вопрос задан 8 лет назад

Які два числа треба вставити між числами 8 і-64, щоб вони разом з даними числами утворювали геометричну прогресію

Ответы

Ответ дал: dtnth
0

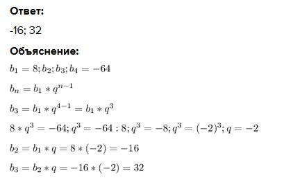
Ответ:

-16; 32

Объяснение:

b_1=8;b_2;b_3; b_4=-64

b_n=b_1*q^{n-1}

b_3=b_1*q^{4-1}=b_1*q^3

8*q^3=-64; q^3=-64:8; q^3=-8; q^3=(-2)^3; q=-2

b_2=b_1*q=8*(-2)=-16

b_3=b_2*q=-16*(-2)=32

Приложения:
Вас заинтересует