Ответы
Ответ дал:
0
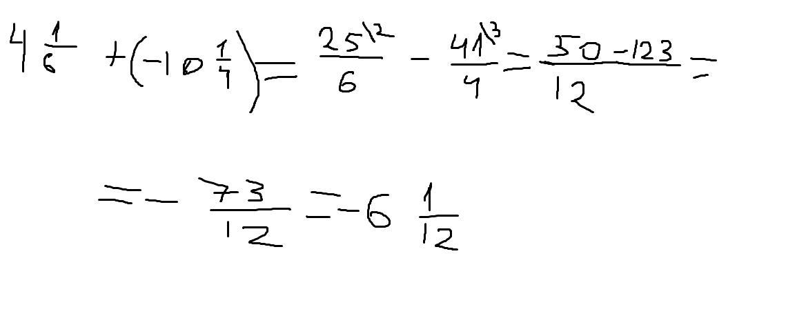
Ответ:
-73/12
Пошаговое объяснение:
4 1/6+(-10 1/4)=25/6-41/4=-73/12
Ответ дал:
0
Ответ:будут вопросы, задавай
Приложения:

Вас заинтересует
2 года назад
2 года назад
3 года назад
3 года назад
8 лет назад
8 лет назад
9 лет назад