• Предмет: Алгебра
  • Автор: ania62060
  • Вопрос задан 8 лет назад

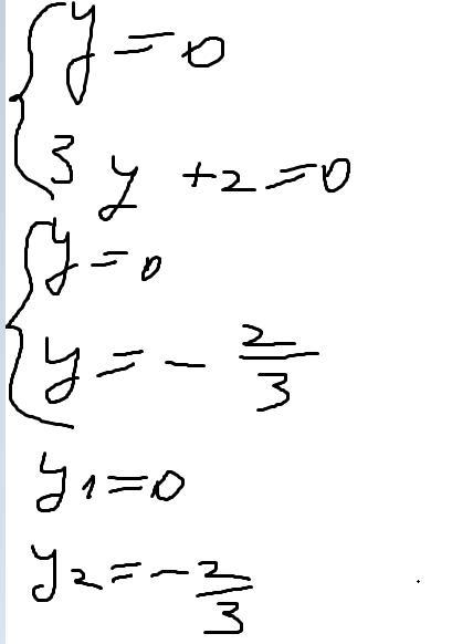
y (3y+2)=0 найдите корень уравнения ​

Ответы

Ответ дал: gennadiiyy
0

Ответил как понял

Объяснение:

Приложения:
Ответ дал: table123
0

Ответ: -2/3; 0

Объяснение:

y=0,  3y+2=0,  3y=-2,  y=-2/3

Приложения:
Вас заинтересует