• Предмет: Математика
  • Автор: sharakatya08
  • Вопрос задан 8 лет назад

Срочно!!!
Розв'яжіть рівняння:
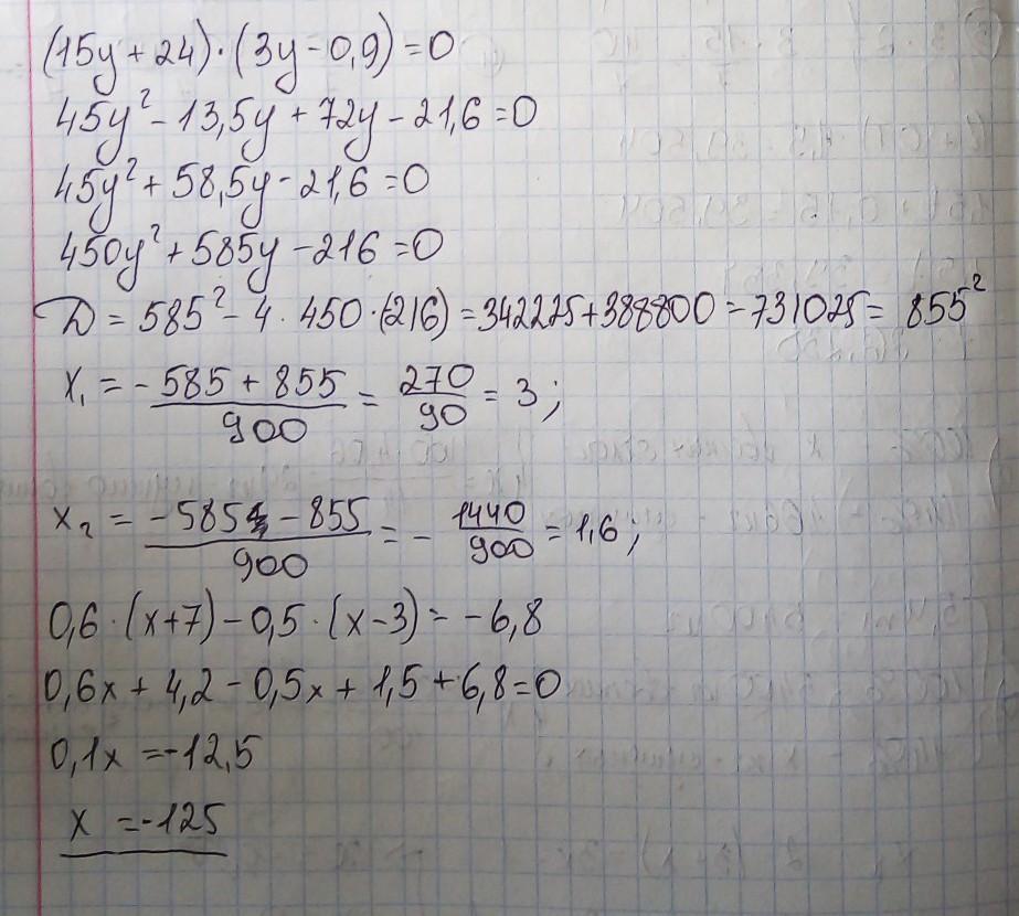
А) (15y+24)*(3y-0,9)=0
b) 0,6*(x+7) -0,5*(x-3) = -6,8

Ответы

Ответ дал: 0725sasha
0

Ответ:

В приложении

Если мой ответ Вам помог

Отметте его ЛУЧШИМ

Приложения:
Вас заинтересует