• Предмет: Алгебра
  • Автор: kukasanyke
  • Вопрос задан 8 лет назад

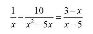
Помогите решить уравнение

Приложения:

Ответы

Ответ дал: Hhbbmm
0

Объяснение: frac{1}{x} - frac{10}{x(x-5)} -frac{3-x}{x-5} =0\frac{x-5-10-x(3-x)}{x(x-5)}=0 \frac{x-15-3x+x^{2} }{x(x-5)} =0\left { {{x^{2} -2x-15=0} atop {xneq0 }, xneq5 \ } right. \D=4+4*15=64, sqrt{D} =8\x_{1} = -3\x_{2}=5 \

Ответ: x=5 не подлежит условию задачи, значит x=-3\xneq 0\xneq 5

Вас заинтересует