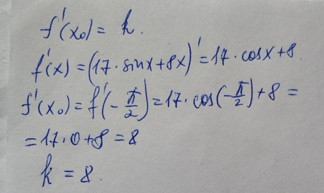
Вычисли угловой коэффициент касательной к графику функции f(x)=17sinx+8x в точке с абсциссой x0=−π/2
Ответы
Ответ дал:
0
Ответ:
k=8
Объяснение:
решение во вложении
Приложения:

Вас заинтересует
2 года назад
2 года назад
3 года назад
8 лет назад
9 лет назад