• Предмет: Математика
  • Автор: peterarpad
  • Вопрос задан 8 лет назад

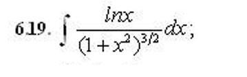
Высшая математика, неопределенный интеграл

Приложения:

Ответы

Ответ дал: orexot
0

Ваш ответ:

 frac{x ln(x) }{ sqrt{x^{2}  + 1} }  - arcsin(x) + c

.

Вас заинтересует