• Предмет: Математика
  • Автор: ssova151
  • Вопрос задан 8 лет назад

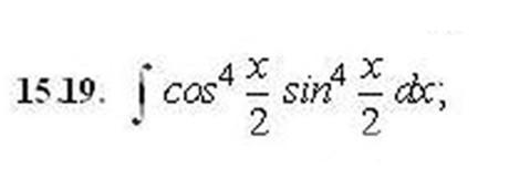
Высшая математика, неопределенный интеграл

Приложения:

Ответы

Ответ дал: artalex74
0

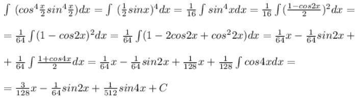
int (cos^4frac{x}{2} sin^4frac{x}{2})}dx=int (frac{1}{2}sinx)^4dx=frac{1}{16}int sin^4xdx=frac{1}{16}int (frac{1-cos2x}{2})^2 dx=\\=frac{1}{64}int(1-cos2x)^2dx=frac{1}{64}int(1-2cos2x+cos^22x)dx=frac{1}{64}x-frac{1}{64}sin2x+\\+frac{1}{64}int frac{1+cos4x}{2}dx= frac{1}{64}x-frac{1}{64}sin2x+frac{1}{128}x+frac{1}{128}int cos4xdx=\\= frac{3}{128}x-frac{1}{64}sin2x+frac{1}{512}sin4x+C

Приложения:
Вас заинтересует