• Предмет: Математика
  • Автор: dashagolub18
  • Вопрос задан 8 лет назад

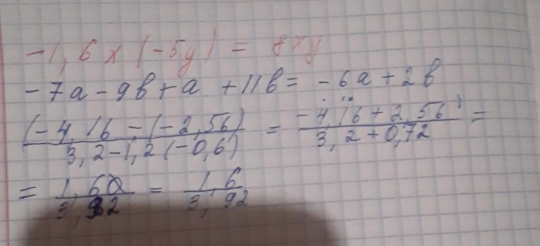
1) Спростіть вираз 1)-1,6х*(-5у) 2)-7а-9b+a+11b

2) Обчислити (-4,16-(-2,56)):3,2-1,2*(-0,6).
пожалуйста срочно!!!​

Ответы

Ответ дал: dima2003121
0

Ответ:

иврврвнвовнввг7вгвгвнвовлвдвщвшв

Приложения:
Вас заинтересует