• Предмет: Математика
  • Автор: nastya514825
  • Вопрос задан 8 лет назад

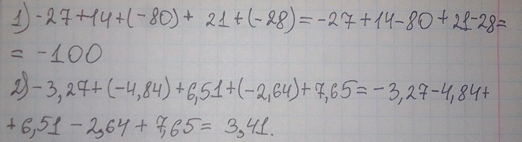
вычеслите, само решение не обязательно​

Приложения:

Ответы

Ответ дал: ltraskott
0

Ответ:

Пошаговое объяснение:

Приложения:
Вас заинтересует