Ответы
Ответ дал:
0
Ответ:
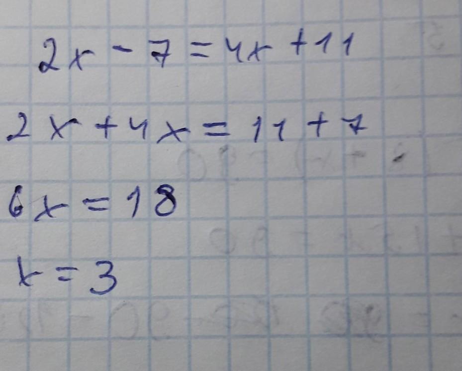
на фотографии
Объяснение:
на фотографии
Приложения:

Ответ дал:
0
Ответ:
2х-4х=11+7
зведіть подібні доданки і обчисліть суму
-2=11+7
2х-4х=18
-2х=-9
розділіть обидві частини рівняння на -2
х=-9
РІШЕННЯ х=-9
Объяснение:
Приложения:

Вас заинтересует
2 года назад
3 года назад
8 лет назад
8 лет назад
9 лет назад