• Предмет: Математика
  • Автор: jenisur
  • Вопрос задан 8 лет назад

помогите пожалуйста, очень срочно надо сдать завтра в 10 утра я не могу сделать ❤️❤️30 баллов помогите пожалуйста

Приложения:

Ответы

Ответ дал: pspl
0

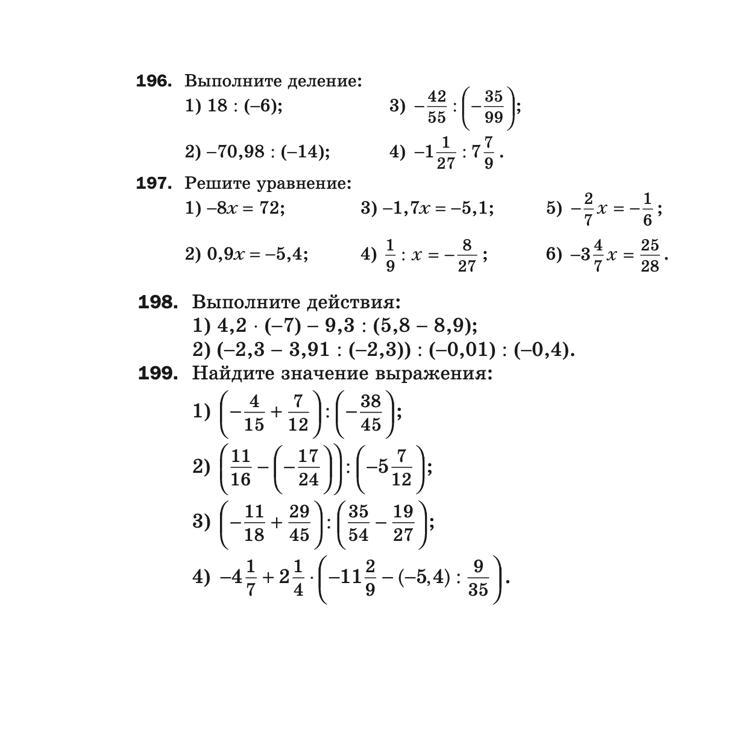
Ответ:

1) -3

2)5.07

3)2 4/25 или 2.16

4)-2/15

1)-8х=72

х= 72:(-8)

х= -9

2)0.9х =-5.4

х= -5.4 : 0.9

х= -6

3)-1.7х = -5.1

х= -5.1 :(-1.7)

х= 3

4)1/9: х= -8/27

х= 1/9 : (-8/27)

х= -3/8

5)-2/7х= -1/6

х = -1/6:(-2/7)

х=7/12

6)-3 4/7х= 25/28

х= 25/28 : (-3 4/7)

х= -1/4

1) 4.2 *(-7) - 9.3 :(5.8 - 8.9)= 29.4 - (-3) = 29.4+3 = 32.4

2)(-2.3-3.91 :(-2.3)) : (-0.01) : (-0.4) =( -2.3 -(-1.7)) : (0.01) : (-0.4) = -0.6 : (-0.01) : (-0.4)= 60 :(-0.4) = -150

1) 19/60 : (-38/45) = -3/8

2)(11/16 + 17/24) : (-5 7/12)= 1 19/48 : (-5 7/12) = -1/4

3) 1/30:(-1/18) = -3/5

4)17 6/7

Вас заинтересует