Ответы
Ответ дал:
0
Ответ:
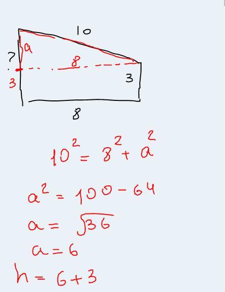
9 метров
Объяснение:
Не помню, как оформляется дано, но я бы так решила.
*добавила дано
Приложения:


Вас заинтересует
3 года назад
3 года назад
8 лет назад
8 лет назад
9 лет назад