• Предмет: Математика
  • Автор: nikaslud
  • Вопрос задан 8 лет назад

Найти производную по определению: у=5sinx+3cosx

Ответы

Ответ дал: konstantin42127
0

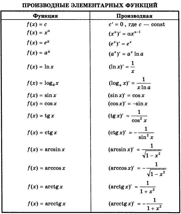
Ответ:

y'=5cosx-3sinx

Пошаговое объяснение:

Смотрим на таблицу и видим, что производная от '(cos(x)) = -sin(x), а  '(sin(x)) = cos(x)

Приложения:
Вас заинтересует