• Предмет: Математика
  • Автор: aasdasd99
  • Вопрос задан 8 лет назад

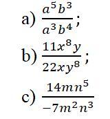
3. Сократить дробь. *

Приложения:

Ответы

Ответ дал: Evgenia4836
0

1) a²/b

2) x⁷/2y⁷

3) -2n²/m

Вас заинтересует