• Предмет: Математика
  • Автор: BBBBab
  • Вопрос задан 8 лет назад

Помогите пожалуйста, плиииииииз

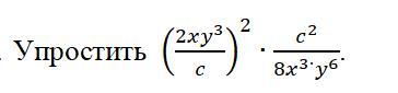
Приложения:

Ответы

Ответ дал: SahobitdinovA
0

Ответ:1/2х

Пошаговое объяснение:

Вас заинтересует