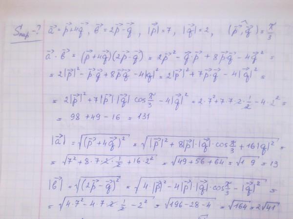
Задача 22. Вычислите площадь параллелограмма, построенного на векторах и b, если = p + 4ã, b = 2p - q, |p| = 7 |q|= 2, угол между векторами p и q равен 30°.
Приложения:

Ответы
Ответ дал:
0
s=8,63
обьясняю:вот фото для вас неудобно писать на клавиатуре
Приложения:


Ответ дал:
0
Ответ:
s= 8.33
Пошаговое объяснение:
Приложения:


Вас заинтересует
2 года назад
2 года назад
3 года назад
3 года назад
8 лет назад
9 лет назад