• Предмет: Математика
  • Автор: uuurgbuiyttujht
  • Вопрос задан 8 лет назад

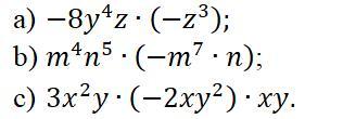
Найти произведение одночленов

Приложения:

Ответы

Ответ дал: IVANKIS1
0

Відповідь:

a)-8y^{4} z(-z^{3} )=8y^{4} z^{4}

b)m^{4}n^{5}  (-m^{7}n )=m^{11} n^{6}

c)3x^{2} y(-2xy^{2} )xy=6x^{4}y^{4}

Вас заинтересует